根据《广州市医疗保障局关于将国家谈判药品等增补纳入广州市社会医疗保险门诊特定病种支付范围的通知》(以下简称《通知》)要求,广州市将于2021年6月1日起新增部分社会医疗保险门诊特定病种药品目录。

一、基本情况
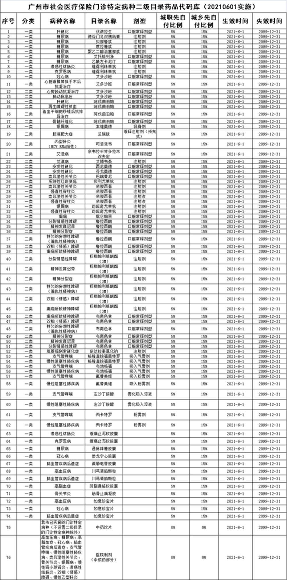
经本市社会医疗保险医药专家评审,《通知》确定了增补纳入广州市社会医疗保险门诊特定病种支付范围的国家谈判药品、中药饮片和医院制剂(中成药部分),共涉及33个病种,74种药品。其中,糖尿病药品新增最多(7种),其次为慢性阻塞性肺疾病、支气管哮喘(5种)。
二、中药饮片
此次目录增补对中医药治疗给予了前所未有的支持力度!具体表现为将现行的《广东省基本医疗保险、工伤保险和生育保险药品目录》中的中药饮片(除外YP99999以及SYP99999大类代码)新增纳入所有我市已实施的、设置有二级目录的门诊特定病种门特报销范围。这对广大需要使用中药方剂进行治疗的门特慢性病病友来说,真可谓是重大利好!
三、医院中成药制剂
同时,此次目录增补将现行的《广东省基本医疗保险、工伤保险和生育保险药品目录》中的医院制剂(中成药部分)新增纳入高血压病、糖尿病、高脂血症、冠心病、脑血管疾病后遗症、支气管哮喘、慢性阻塞性肺疾病、类风湿性关节炎、骨关节炎、银屑病、慢性肾小球肾炎、溃疡性结肠炎、双相(情感)障碍、慢性乙型肝炎等14 类门特病种二级目录。相关医院制剂在生产的定点医疗机构使用时纳入相应门特病种支付范围,在调剂的定点医疗机构使用时仍按自费待遇进行结算。
↓ 详细的新增药品名单看下方 ↓
大家可对应着表格找到自己关心的药品




